v美丽郊区v

郊区信访
首页 > 新闻中心 > 公示公告
佳木斯市郊区招聘社区工作者拟进入面试人员公告
发布日期:2020-07-30 09:22:44

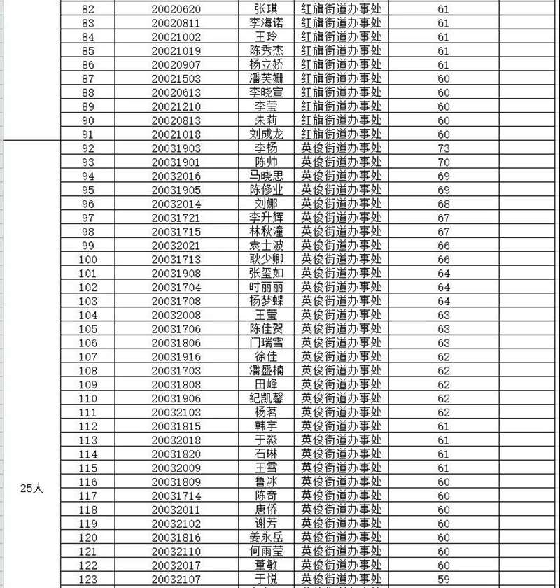
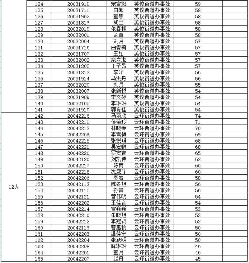
  按照《佳木斯市郊区关于招聘社区工作者笔试公告》要求,笔试工作已结束,现将拟进入面试的人员进行公告。具体人员名单详见附件。

  政策咨询电话:0454-6045311

  考试咨询电话:0454-8775513

  监督举报电话:0454-8561752

  附件:《佳木斯市郊区招聘社区工作者拟进入面试人员名单》

  佳木斯市郊区社区工作者招聘领导小组

  2020年7月28日

  主办单位:佳木斯市郊区人民政府办公室
黑公网安备 23081102000108号   网站标识码:2308110001    黑ICP备10008672号-2
地址:黑龙江省佳木斯市郊区友谊路8号
信息中心电话:0454-8582321    网站地图